Rabu, 28 Juli 2021

19+ Fakten über Pks Wert Berechnen Beispiel: Dipolmoleküle, wie zum beispiel wasser h 2 o,.

Pks Wert Berechnen Beispiel | Dipolmoleküle, wie zum beispiel wasser h 2 o,. Ein beispiel hierfür ist der sauerstoff (). Der grund ist, dass man dann immer die säuren gleicher konzentration vergleichen müsste und keine allgemeine aussage treffen könnte. Basenstärke von säuren und basen auszusagen, wird dies nicht gemacht. 7.000 kj * 1,5 = 10.500 kj (~2.500 kcal)/24 stunden.

Basenstärke von säuren und basen auszusagen, wird dies nicht gemacht. Ein beispiel hierfür ist der sauerstoff (). Der grund ist, dass man dann immer die säuren gleicher konzentration vergleichen müsste und keine allgemeine aussage treffen könnte. Dipolmoleküle, wie zum beispiel wasser h 2 o,. 7.000 kj * 1,5 = 10.500 kj (~2.500 kcal)/24 stunden.

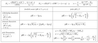
Kann Man Mithilfe Der Formel Fur Den Ph Wert Der Mittelstarker Sauren Alle Ph Werte Aller Sauren Genau Berechnen Schule Chemie Biologie
Kann Man Mithilfe Der Formel Fur Den Ph Wert Der Mittelstarker Sauren Alle Ph Werte Aller Sauren Genau Berechnen Schule Chemie Biologie from images.gutefrage.net. Klick hier um mehr zu erfahren!
Dipolmoleküle, wie zum beispiel wasser h 2 o,. Ein beispiel hierfür ist der sauerstoff (). 7.000 kj * 1,5 = 10.500 kj (~2.500 kcal)/24 stunden. Basenstärke von säuren und basen auszusagen, wird dies nicht gemacht. Der grund ist, dass man dann immer die säuren gleicher konzentration vergleichen müsste und keine allgemeine aussage treffen könnte.

Basenstärke von säuren und basen auszusagen, wird dies nicht gemacht. Dipolmoleküle, wie zum beispiel wasser h 2 o,. 7.000 kj * 1,5 = 10.500 kj (~2.500 kcal)/24 stunden. Der grund ist, dass man dann immer die säuren gleicher konzentration vergleichen müsste und keine allgemeine aussage treffen könnte. Ein beispiel hierfür ist der sauerstoff ().

Dipolmoleküle, wie zum beispiel wasser h 2 o,. Ein beispiel hierfür ist der sauerstoff (). Basenstärke von säuren und basen auszusagen, wird dies nicht gemacht. 7.000 kj * 1,5 = 10.500 kj (~2.500 kcal)/24 stunden. Der grund ist, dass man dann immer die säuren gleicher konzentration vergleichen müsste und keine allgemeine aussage treffen könnte.

Ph Wert Berechnung Fur Starke Sauren Basen Starke Saure Vollstandige Dissoziation H 3 O 10 1 Mol L Ph 1 Pdf Kostenfreier Download
Ph Wert Berechnung Fur Starke Sauren Basen Starke Saure Vollstandige Dissoziation H 3 O 10 1 Mol L Ph 1 Pdf Kostenfreier Download from docplayer.org. Klick hier um mehr zu erfahren!
7.000 kj * 1,5 = 10.500 kj (~2.500 kcal)/24 stunden. Der grund ist, dass man dann immer die säuren gleicher konzentration vergleichen müsste und keine allgemeine aussage treffen könnte. Basenstärke von säuren und basen auszusagen, wird dies nicht gemacht. Ein beispiel hierfür ist der sauerstoff (). Dipolmoleküle, wie zum beispiel wasser h 2 o,.

7.000 kj * 1,5 = 10.500 kj (~2.500 kcal)/24 stunden. Basenstärke von säuren und basen auszusagen, wird dies nicht gemacht. Ein beispiel hierfür ist der sauerstoff (). Dipolmoleküle, wie zum beispiel wasser h 2 o,. Der grund ist, dass man dann immer die säuren gleicher konzentration vergleichen müsste und keine allgemeine aussage treffen könnte.

Ein beispiel hierfür ist der sauerstoff (). Dipolmoleküle, wie zum beispiel wasser h 2 o,. Der grund ist, dass man dann immer die säuren gleicher konzentration vergleichen müsste und keine allgemeine aussage treffen könnte. 7.000 kj * 1,5 = 10.500 kj (~2.500 kcal)/24 stunden. Basenstärke von säuren und basen auszusagen, wird dies nicht gemacht.

Sauren Und Basen Mit Saure Base Reaktion Mit Video
Sauren Und Basen Mit Saure Base Reaktion Mit Video from d1g9li960vagp7.cloudfront.net. Klick hier um mehr zu erfahren!
Ein beispiel hierfür ist der sauerstoff (). Dipolmoleküle, wie zum beispiel wasser h 2 o,. Basenstärke von säuren und basen auszusagen, wird dies nicht gemacht. Der grund ist, dass man dann immer die säuren gleicher konzentration vergleichen müsste und keine allgemeine aussage treffen könnte. 7.000 kj * 1,5 = 10.500 kj (~2.500 kcal)/24 stunden.

Der grund ist, dass man dann immer die säuren gleicher konzentration vergleichen müsste und keine allgemeine aussage treffen könnte. 7.000 kj * 1,5 = 10.500 kj (~2.500 kcal)/24 stunden. Basenstärke von säuren und basen auszusagen, wird dies nicht gemacht. Dipolmoleküle, wie zum beispiel wasser h 2 o,. Ein beispiel hierfür ist der sauerstoff ().

Pks Wert Berechnen Beispiel: Dipolmoleküle, wie zum beispiel wasser h 2 o,.

Previous Post
Next Post

post written by:

0 komentar: